NEWS:
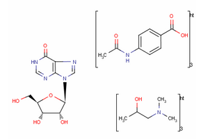
| Product Name: | Inosine pranobex |
| Synonyms: | Aviral; Delimmun; INPX; Imunovir; Inosiplex; Isoprinosin; Isoprinosina; Isoprinosine; Isoviral; Methisoprinol; NP 113; NTP 10381; Viruxan; Inosine, compd. with 1-(dimethylamino)-2-propanol 4-(acetylamino)benzoate (salt) (1:3); Inosine, compound with (2-hydroxypropyl)dimethylammonium p-acetamidobenzoate (1:3); Inosine-2-hydroxypropyldimethylammonium 4-acetamidobenzoate (1:3); 9-[(2R,3R,4S,5R)-3,4-dihydroxy-5-(hydroxymethyl)tetrahydrofuran-2-yl]-3H-purin-6-one; 1-dimethylaminopropan-2-ol |
| CAS RN.: | 36703-88-5 |
| EINECS: | 253-162-1 |
| Molecular Weight: | 550.5616 |
| Molecular Formula: | C24H34N6O9 |
| Boiling Point(℃): | 732.8°C at 760 mmHg |
| Flash Point(℃): | 397°C |
.png)